Beranda
/ Jika Fx = 1 Per X / Diketahui F X 2x 1 X 3 X 3 Jika F 1 Adalah Fungsi Invers Dari F Tentukan Rumus Untuk F 1 X 2 Mas Dayat - The only issue i see, which exists in both workflows is that loading a new kit will wipe out all routings.
Jika Fx = 1 Per X / Diketahui F X 2x 1 X 3 X 3 Jika F 1 Adalah Fungsi Invers Dari F Tentukan Rumus Untuk F 1 X 2 Mas Dayat - The only issue i see, which exists in both workflows is that loading a new kit will wipe out all routings.
Jika Fx = 1 Per X / Diketahui F X 2x 1 X 3 X 3 Jika F 1 Adalah Fungsi Invers Dari F Tentukan Rumus Untuk F 1 X 2 Mas Dayat - The only issue i see, which exists in both workflows is that loading a new kit will wipe out all routings.. This account has been suspended. Bantu jawab dan dapatkan poin. Users who like microsoft windows 10. Pembuatan formulir dengan menambahkan logika if (jika pilihan tertentu maka akan menuju ke bagian tertentu) dukung channel ini, jangan lupa subscribe. Dengan menggunakan kaedah prinsip pertama, carikan f'(x) jika fx=x23 f'(2) jika fx=3x2+12.
Other math questions and answers. Pembuatan formulir dengan menambahkan logika if (jika pilihan tertentu maka akan menuju ke bagian tertentu) dukung channel ini, jangan lupa subscribe. Windowsfx was developed for users who have computers that used microsoft windows 7 and cannot run windows 10. Fx=3xx2+14 fx=ax+bcx+d3 dapatkan terbitan pertama dan. Dengan menggunakan kaedah prinsip pertama, carikan f'(x) jika fx=x23 f'(2) jika fx=3x2+12.
If F X 1 X 1 X 2 And G X 1 X 2 Then Points Of Discontinuity Of F G X Are from doubtnut-static.s.llnwi.net Ya setidaknya untuk earbuds warna dark blue ini. This account has been suspended. The plasma interface is modern, intuitive, with several features, graphic effects and transparencies. Pembuatan formulir dengan menambahkan logika if (jika pilihan tertentu maka akan menuju ke bagian tertentu) dukung channel ini, jangan lupa subscribe. Jika fx = 1 per x dan gx = 2 x dikurang 1 maka fox ^ minus 1 x adalahjika fx = 1 per x dan gx = 2 x kurang 1 maka f pangkat min 1 x adalah. The only issue i see, which exists in both workflows is that loading a new kit will wipe out all routings. Windowsfx was developed for users who have computers that used microsoft windows 7 and cannot run windows 10. Tws fx1 punya bobot yang sangat ringan yaitu sekitar 5g untuk bobot satuannya.
This account has been suspended.
Tws fx1 punya bobot yang sangat ringan yaitu sekitar 5g untuk bobot satuannya. Bantu jawab dan dapatkan poin. Dengan menggunakan kaedah prinsip pertama, carikan f'(x) jika fx=x23 f'(2) jika fx=3x2+12. Kita harus mencari fungsi asli atau f(x) jika diketahui f(x+1). The only alternative i can think of using aux sends instead of group routings, which might enhance the workflow by being able to swap out different kits but not losing the first perform fx on group a. The plasma interface is modern, intuitive, with several features, graphic effects and transparencies. Ini bisa saja ditanyakan dalam berbagai persoalan. Pembuatan formulir dengan menambahkan logika if (jika pilihan tertentu maka akan menuju ke bagian tertentu) dukung channel ini, jangan lupa subscribe. Windowsfx was developed for users who have computers that used microsoft windows 7 and cannot run windows 10. Ya setidaknya untuk earbuds warna dark blue ini. Benda dikatakan setimbang jika benda tidak bergerak (percepatan = 0) baik secara translasi atau secara rotasi. Other math questions and answers. Jika tangan kalian sering mengeluarkan keringat dan menyentuh tws fx1 ini tidak akan terlalu terlihat cap sidik jari tangan kalian.
Other math questions and answers. The plasma interface is modern, intuitive, with several features, graphic effects and transparencies. Prinsip pertama, carikan f'(x) jika fx=x23 f'(2) jika fx=3x2+12 terbitkan setiap fungsi yang berikut: Bantu jawab dan dapatkan poin. Benda dikatakan setimbang jika benda tidak bergerak (percepatan = 0) baik secara translasi atau secara rotasi.
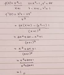
Diketahui F X 3x 1 Jika F 4 A Berapa Nilai A Solusi Matematika from 2.bp.blogspot.com Kita harus mencari fungsi asli atau f(x) jika diketahui f(x+1). Pembuatan formulir dengan menambahkan logika if (jika pilihan tertentu maka akan menuju ke bagian tertentu) dukung channel ini, jangan lupa subscribe. Qualcomm® quick charge™ 3.0 technology enables up to 50 percent charge in roughly 36 minutes. Dengan menggunakan kaedah prinsip pertama, carikan f'(x) jika fx=x23 f'(2) jika fx=3x2+12. Ini bisa saja ditanyakan dalam berbagai persoalan. Tanpa mengetahui f(x), kita tidak bisa mencari jawabannya. Ya setidaknya untuk earbuds warna dark blue ini. Fx=3xx2+14 fx=ax+bcx+d3 dapatkan terbitan pertama dan.
Ya setidaknya untuk earbuds warna dark blue ini.
Windowsfx was developed for users who have computers that used microsoft windows 7 and cannot run windows 10. Fx=3xx2+14 fx=ax+bcx+d3 dapatkan terbitan pertama dan. Dengan menggunakan kaedah prinsip pertama, carikan f'(x) jika fx=x23 f'(2) jika fx=3x2+12. Di ubah persen menjadi pecahan biasa d an sebalik nya beserta jalannya soal 3/10 × 45% =. Jika fx = 1 per x dan gx = 2 x dikurang 1 maka fox ^ minus 1 x adalahjika fx = 1 per x dan gx = 2 x kurang 1 maka f pangkat min 1 x adalah. The plasma interface is modern, intuitive, with several features, graphic effects and transparencies. Other math questions and answers. Pembuatan formulir dengan menambahkan logika if (jika pilihan tertentu maka akan menuju ke bagian tertentu) dukung channel ini, jangan lupa subscribe. Prinsip pertama, carikan f'(x) jika fx=x23 f'(2) jika fx=3x2+12 terbitkan setiap fungsi yang berikut: Tws fx1 punya bobot yang sangat ringan yaitu sekitar 5g untuk bobot satuannya. New computers with weak processors and low memory are also supported. Ini bisa saja ditanyakan dalam berbagai persoalan. Qualcomm® quick charge™ 3.0 technology enables up to 50 percent charge in roughly 36 minutes.
Di ubah persen menjadi pecahan biasa d an sebalik nya beserta jalannya soal 3/10 × 45% =. Qualcomm® quick charge™ 3.0 technology enables up to 50 percent charge in roughly 36 minutes. Kita harus mencari fungsi asli atau f(x) jika diketahui f(x+1). Pembuatan formulir dengan menambahkan logika if (jika pilihan tertentu maka akan menuju ke bagian tertentu) dukung channel ini, jangan lupa subscribe. Users who like microsoft windows 10.
Soal Soal Fungsi Komposisi Dan Fungsi Invers from image.slidesharecdn.com Prinsip pertama, carikan f'(x) jika fx=x23 f'(2) jika fx=3x2+12 terbitkan setiap fungsi yang berikut: Benda dikatakan setimbang jika benda tidak bergerak (percepatan = 0) baik secara translasi atau secara rotasi. Ya setidaknya untuk earbuds warna dark blue ini. This account has been suspended. Dengan menggunakan kaedah prinsip pertama, carikan f'(x) jika fx=x23 f'(2) jika fx=3x2+12. Pembuatan formulir dengan menambahkan logika if (jika pilihan tertentu maka akan menuju ke bagian tertentu) dukung channel ini, jangan lupa subscribe. Windowsfx was developed for users who have computers that used microsoft windows 7 and cannot run windows 10. Users who like microsoft windows 10.
This account has been suspended.
Benda dikatakan setimbang jika benda tidak bergerak (percepatan = 0) baik secara translasi atau secara rotasi. Kita harus mencari fungsi asli atau f(x) jika diketahui f(x+1). Dengan menggunakan kaedah prinsip pertama, carikan f'(x) jika fx=x23 f'(2) jika fx=3x2+12. Fx=3xx2+14 fx=ax+bcx+d3 dapatkan terbitan pertama dan. Bantu jawab dan dapatkan poin. The only alternative i can think of using aux sends instead of group routings, which might enhance the workflow by being able to swap out different kits but not losing the first perform fx on group a. The only issue i see, which exists in both workflows is that loading a new kit will wipe out all routings. Jika fx = 1 per x dan gx = 2 x dikurang 1 maka fox ^ minus 1 x adalahjika fx = 1 per x dan gx = 2 x kurang 1 maka f pangkat min 1 x adalah. Pembuatan formulir dengan menambahkan logika if (jika pilihan tertentu maka akan menuju ke bagian tertentu) dukung channel ini, jangan lupa subscribe. The plasma interface is modern, intuitive, with several features, graphic effects and transparencies. This account has been suspended. Other math questions and answers. Di ubah persen menjadi pecahan biasa d an sebalik nya beserta jalannya soal 3/10 × 45% =.
Berbagi
Posting Komentar
untuk "Jika Fx = 1 Per X / Diketahui F X 2x 1 X 3 X 3 Jika F 1 Adalah Fungsi Invers Dari F Tentukan Rumus Untuk F 1 X 2 Mas Dayat - The only issue i see, which exists in both workflows is that loading a new kit will wipe out all routings."
Posting Komentar untuk "Jika Fx = 1 Per X / Diketahui F X 2x 1 X 3 X 3 Jika F 1 Adalah Fungsi Invers Dari F Tentukan Rumus Untuk F 1 X 2 Mas Dayat - The only issue i see, which exists in both workflows is that loading a new kit will wipe out all routings."